By Comr. Isaac | reporting ICC News | January 13, 2024
At least 11 out of the 18 newly elected governors successfully reduced their inherited domestic debts by a significant N111.35 billion in the short span from June to September 2023.
This drop further contributed to a notable decrease in the collective debt of these 18 governors, witnessing a drop of approximately N46.79 billion within three months.
An analysis of the subnational domestic debt reports, as released by the Debt Management Office (DMO), indicates a downward shift in the total debt figures for these governors. The total debt, which stood at N2.52 trillion as of June 2023, saw a reduction to N2.47 trillion by September 2023.
Record from DMOThe total debt of these 18 governors makes up 43.03% of the total subnational domestic debt of N5.74 trillion by the third quarter of 2023.
Conversely, four of the newly elected governors recorded an increase in their domestic debt, amounting to N20.56 billion, during the same timeframe.
Notably, for certain states like Kano, the domestic debt data was available only up to December 31, 2022, while for Katsina and Rivers states, the data extended up to March 31, 2023.
Consequently, while these three states were accounted for in the overall total debt calculation for the 18 governors, they were not included in the detailed breakdown of governors who either augmented or diminished their state’s debt in this analysis.
11 governors that decreased domestic debt
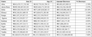
The 11 new governors that decreased their domestic debt include Alex Otti of Abia state, Umo Eno of Akwa Ibom state, Sheriff Oborevwori of Delta state, Francis Nwifuru of Ebonyi state, Peter Mbah of Enugu state, and Umar Namadi of Jigawa state.
Others include Uba Sani of Kaduna State, Nasir Idris of Kebbi State, Mohammed Bago of Niger State, Ahmad Aliyu Sokoto of Sokoto State and Agbu Kefas of Taraba State.
In total, these 11 governors took an inherited debt of N1.46 trillion as of June 2023 to N1.35 trillion as of September 2023. The table below provides a breakdown of each state’s debt:
Four governors that increased domestic debt
The four new governors that increased their domestic debt are Hyacinth Alia of Benue state, Bassey Otu of Cross River state, Caleb Mutfwang of Plateau state and Dauda Lawal of Zamfara state.
Together, they pushed their total domestic debt from N644.91 billion as of June 2023 to N665.46 billion as of September 2023. Leading the trend is Plateau state, with a 7% increase in three months, getting about 58% of the total fresh loans by these four new governors. The table below provides a breakdown for each state:
NairaMetric
For advert placement, events coverage, media placement, public relation consultancy and further inquiries please WhatsApp 08130386172 or email: iccmediagloballtd@gmail.com

